Curiosità - la "Versiera"
In geometria, la versiera è una curva cubica del piano, costruibile attraverso procedimenti geometrici elementari, caratterizzata da una forma a campana, simile a quella della distribuzione gaussiana.

Attribuita a Maria Gaetana Agnesi, che la descrisse in Istituzioni analitiche ad uso della gioventù italiana (1748), in realtà era già stata studiata da Pierre de Fermat nel 1666 e da Guido Grandi nel 1703. Il suo nome deriva dal latino versoria, che indicava la corda legata all'estremità di una vela e utilizzata per le virate. Il traduttore inglese del libro della Agnesi confuse la versiera con il termine l'avversiera, che significa strega, ovvero avversaria di Dio, denominando la curva come Witch of Agnesi (strega di Agnesi), e con tale nome essa è conosciuta in numerose lingue.
Costruzione: Data un circonferenza di centro (0,a) e una retta t parallela all'asse x di equazione y = 2a tangente al cerchio nel punto (0,2a), e un fascio di rette passanti per l'origine degli assi, la versiera è il luogo dei punti M che hanno: come ascissa, l'ascissa del punto L di intersezione di una generica retta del fascio con la tangente t; come ordinata, l'ordinata del punto C di intersezione della stessa retta del fascio con la circonferenza.
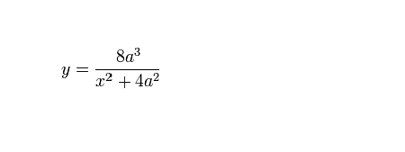
Equazione . Applicando la costruzione sopra descritta, l'equazione cartesiana della curva è:

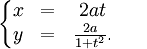
L'equazione parametrica è invece:

dove ? è l'angolo formato dalla retta del fascio con l'asse delle ordinate.
Una parametrizzazione che fa uso solo di funzioni algebriche è la seguente:

Proprietà .Per a = 1 / 2, l'equazione diventa:

che è la derivata dell'arcotangente.
L'area racchiusa tra la versiera e l'asse delle ascisse vale 4pa2, ovvero il quadruplo dell'area del cerchio utilizzato nella costruzione.
Ruotando la curva attorno all'asse delle ascisse si ottiene una superficie a forma di fuso il cui volume vale 4p2a3.
Applicazioni. La versiera trova applicazione in fisica nella descrizione dei fenomeni di risonanza: ad esempio un atomo colpito da una radiazione monocromatica, emette una radiazione la cui intensità dipende dalla frequenza della radiazione emessa; la relazione tra questa due grandezze è data dall'equazione della versiera, con il massimo in corrispondenza della lunghezza d'onda della luce incidente.
In statistica, la distribuzione di una variabile casuale di Cauchy è espressa da una versiera.